|一道全国初中数学联赛决赛题目,看似简单,据说正确率不到10%

文章图片

文章图片

文章图片

大家好 , 本文和大家分享一道全国初中数学联赛决赛的题目 。 题目是一道解双根号的方程 , 看似非常简单 , 但是据说当年正确率不到10% , 快来看看你是否会做呢(题目见下图)?
这是是一道解双根号方程的题目 , 而且都是二次根式 。 在初中阶段 , 二次根式一般是指形如√a的式子 , 其中a为非负数 , 叫被开方数 。 二次根式最重要的性质是具有双重非负性 , 即被开方数为非负数 , 二次根式本身的值也是一个非负数 。
解双根号的二次根式方程 , 初中阶段常用的方法有两种:平方法和换元法 。 我们先来看一下下面一个简单的例子(如下图) 。
这就是一个很简单但是又很典型的双根号方程问题 。 下面详细讲解平方法和换元法求解的过程 。
解法一:平方法 。用平方法求解时 , 我们先将两个根号分别移动到等号的两边 , 而不是直接平方 , 这样做的目的是为了减少后面的计算量 。 如果有兴趣你也可以直接平方计算一次 , 然后进行对比 , 就会发现这种处理的好处了 。 具体过程见下图 。
【|一道全国初中数学联赛决赛题目,看似简单,据说正确率不到10%】
解法二:换元法 。
先将两个根号分别令为a和b , 那么就有a+b=2;然后观察两个被开方数的特征 , 可以发现两个被开方数之差为2 , 即a2-b2也等于2 , 再用平方差公式进行分解就可以得到a-b=1 。 联立即可求出a和b , 然后反解出x 。 具体过程见下图 。
不管是平方法还是换元法 , 解出x后要进行检验 , 保证根式有意义 。 当然 , 也可以先根据根式有意义求出x的范围 。
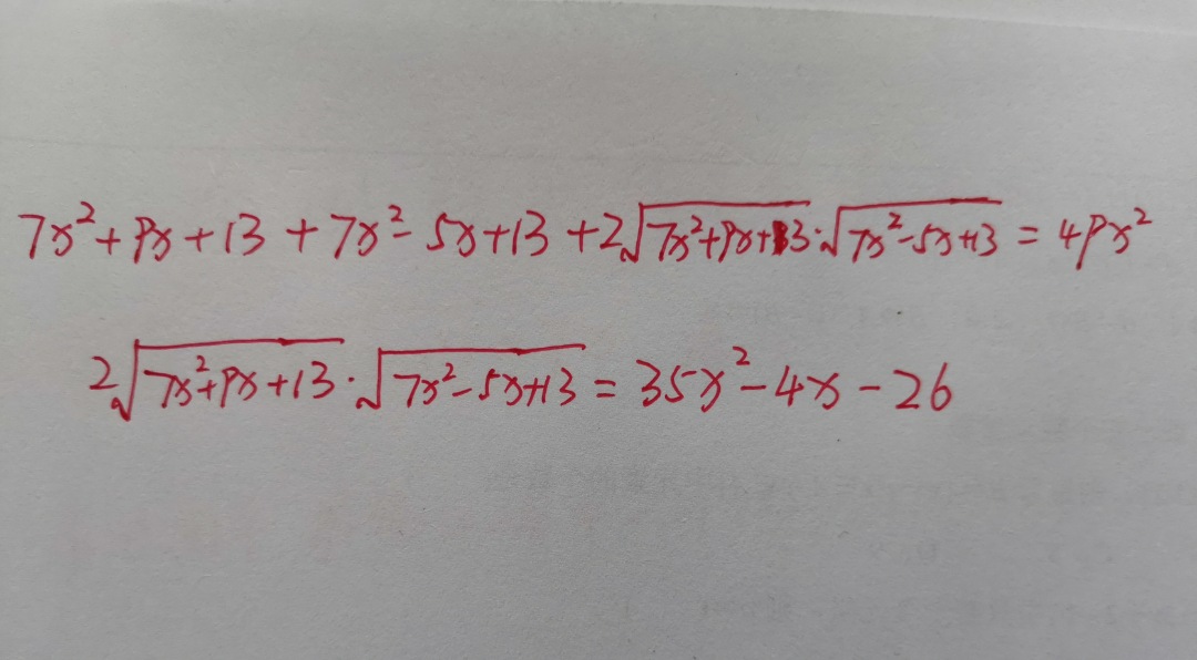
我们再回到这道竞赛题 。 这道题如果用平方法 , 那么计算量将会非常大 , 甚至会出现4次方的形式 , 因为方程的右边出现了x , 所以平方法不太适合 。 下面我们再来看一下换元法 。
同样 , 先令2个根式分别为a和b , 再观察被开方数的形式 , 可以发现两个被开方数之差为14x , 于是得到a、b的方程组 , 先解出a、b , 再代入反解x 。 详细过程见下图 。
从上面的解题过程来看 , 此题实际上并不难 , 但是和平时做的题不一样的地方在于:平时的题a和b解出来一般是一个具体的数 , 而此题却含有x , 导致一些同学不敢继续往下算 。
下面我们再讲另外一种方法:分子有理化 。
先将方程的分母看成“1” , 然后进行分子有理化 , 这样可以得到两个根式之差的值 , 并且方程的右边是一个纯数字 。 这样一处理 , 就和平时的题目类似了 。 具体过程见下图 。
其实 , 在得到两个根式之差后 , 除了上图中的平方法 , 还可以用换元法 , 也可以直接把处理后的方程与原方程组成一个方程组进行求解 。 分子有理化也是解双根式方程的一种重要方法 , 包括前面那个基础题也可以使用 , 有兴趣的同学可以自己做一下 。
此题的难度其实并不大 , 但是正确率却并不高 。 一是方程右边出现了x , 二是解出的x有两个值 , 需要验证 。 如果是你 , 你做对了吗?
推荐阅读
- 四川省|四川德阳:某乡镇初中开学,家长几乎自带床板,学校用品额外收钱
- 大学|金融专业最强的不是清北,这所大学以文科见长,金融专业领冠全国
- 早恋|初中时,这4类女生很受男生喜欢,更容易“早恋”,老师:拦不住
- 考试|初中化学知识框架图,帮孩子贴墙上记,保管考试次次拿满分!
- 北京市|全国高考为什么不统一试卷?真实原因是这些
- 江苏省|全国5所本科层次的警官学院介绍,被誉为“司法警官的摇篮”
- 中小学|初中时同学家里几个亿,班里的班费被偷了,老师们冤枉他偷班费!
- 大学|?南京最“谦虚”的大学,在外地几乎无人知晓,但这学科却全国第一
- 高校|2020年世界一流学科排名:武汉大学上榜42个学科,排全国第5!
- |2020年高考清华北大录取全国高中风云榜
